什么是k近邻算法:
通俗的例子:根据你的邻居判断你是什么类型,也就是根据你的距离来判断
· 定义
如果一个样本在特征空间中的k个最相似(即特征空间中最邻近)的样本中的大多数术语某一个类别,则这个样本也属于这个类别
距离度量
1.欧式距离
2.曼哈顿距离
在曼哈顿街区从一个十字路口开车到另一个十字路口,驾驶距离显然不是两点间的直线距离。而这个实际距离就是“曼哈顿距离”。也被成为“城市街区距离”
3.切比雪夫距离
国际象棋中,国王可以直行、横行、邪行,所以国王走一步可以移动到相邻8个方格中的任意一个。国王从格子(x1,y1)走到(x2,y2)最少需要多少步?这个距离就是切比雪夫距离
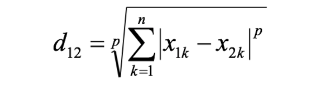
4.闵可夫斯基距离
不是一种距离,而是一组距离的定义,是对多个距离度量公式的概括性的表述。
p = 1 是曼哈顿距离,2是欧式距离,无穷就是切比雪夫距离
小结
- 这些距离都有明显的缺点,下面是例子:
二维样本 (身高[单位:cm],体重[单位:kg]),现有三个样本:a(180,50),b(190,50),c(180,60)
a与b的闵氏距离(包括曼哈顿、切比雪夫)等于a与c的闵氏距离,但实际上身高的10cm并不能和体重的10kg划等号 - 闵氏距离的缺点:
- 将各个分量的量纲,也就是“单位相同的看待了”
- 未考虑各个分量的分布(期望、方差等)可能是不同的
5.标准化欧式距离
思路:既然数据各维分量的分布不一样,那先将各个分量都“标准化”到均值、方差相等。假设样本集X的均值(mean)为m,标准差(standard deviation)为s,X的“标准化变量”表示为:
如果将方差的倒数看成一个权重,也可以称之为加权欧式距离
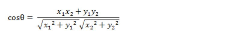
6.余弦距离
几何中,夹角余弦可用来衡量两个向量方向的差异;机器学习中,借用这一概念来衡量样本向量之间的差异。
二维空间中向量A(x1,y1)与向量B(x2,y2)的夹角余弦公式:
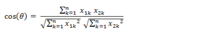
两个n维样本点a(x11,x12,…,x1n)和b(x21,x22,…,x2n)的夹角余弦为:
即:
夹角余弦取值范围为[-1,1]。余弦越大表示两个向量的夹角越小,余弦越小表示两向量的夹角越大。当两个向量的方向重合时余弦取最大值1,当两个向量的方向完全相反余弦取最小值-1。
k值得选择
k值过小:容易受到异常点的影响
k值过大:受到样本均衡的影响
近似误差:近似误差过小可能出现过拟合的现象,对现有的训练集能有很好的预测,但是对位置的测试样本将会出现较大变差的预测。模型本身不是最接近最佳模型
估计误差:可以理解为测试集的测试误差,关注测试集,估计误差小说明对未知数据的预测能力好,模型本身最接近最佳模型
k值选择问题
- 如果选择较小的k值,相当于用较小的领域中的训练实例进行预测,“学习”近似误差会减小,只有与输入实际较近或相似的训练实例才会对预测结果起作用,与此同时——“学习”的估计误差会增大,简短的说就是:k值减小,整体模型变得复杂,容易发生过拟合
- 如果选择较小的k值,相当于用较大的领域中的训练实例进行预测,优点就是减少学习的估计误差,但近似误差增大,输入不相似的巡训练实例也会对预测器起作用,使预测发生错误,且k值得增大意味着模型变得简单
- 实际应用中,一般选择较小的k值,,把低纬数据集映射到高纬特征空间
kd数
1.1 什么是kd数
根据knn每次需要预测一个点时,都需要计算训练数据集里每个点到这个点的距离,然后选出距离最近的k个点进行投票,当数据集很大时,则计算成本非常高,
举个例子
一.项目背景——糖尿病数据集
代码区
1 | # 第一步:导入必要的库 |
你需要掌握的
1. 数值计算与数据处理库
import numpy as npNumPy 是 Python 中用于数值计算的核心库,提供了高效的多维数组(
ndarray)和大量数学运算函数(如矩阵运算、统计函数等)。在机器学习中,数据通常以数组形式存储和处理,NumPy 是几乎所有数据处理和模型计算的基础。import pandas as pdPandas 是基于 NumPy 的数据处理库,主要用于处理结构化数据(如表格数据)。它提供了
DataFrame数据结构,方便进行数据清洗、筛选、分组、合并等操作,是读取和预处理 CSV/Excel 等表格数据的常用工具。
2. 可视化库(可选)
import matplotlib.pyplot as pltMatplotlib 是 Python 中最基础的可视化库,可用于绘制折线图、散点图、直方图、箱线图等。在机器学习中,常用来分析数据分布(如特征与标签的关系)、可视化模型结果(如准确率变化曲线)等,帮助理解数据和模型。
3. KNN 模型与数据处理工具
from sklearn.neighbors import KNeighborsClassifier这是 scikit-learn(Python 最流行的机器学习库)中的 K 近邻(KNN)分类算法。KNN 是一种简单的监督学习算法,通过计算新样本与训练集中 “最近的 K 个样本” 的类别,来预测新样本的类别,适用于分类任务。
from sklearn.model_selection import train_test_split用于将数据集划分为训练集和测试集。训练集用于训练模型,测试集用于评估模型在新数据上的表现,避免模型 “记住” 训练数据而泛化能力差(过拟合)。
from sklearn.preprocessing import StandardScaler用于数据标准化处理。它会将特征值转换为均值为 0、标准差为 1 的分布,消除不同特征量级的影响(例如,“年龄” 和 “收入” 的单位不同),让 KNN 等基于距离的算法更准确。
4. 模型评估指标
from sklearn.metrics import accuracy_score, precision_score, recall_score, f1_score这些是分类任务中常用的模型评估指标:
accuracy_score:准确率,正确预测的样本占总样本的比例。precision_score:精确率,预测为 “正类” 的样本中实际为正类的比例(关注预测的准确性)。recall_score:召回率,实际为 “正类” 的样本中被正确预测的比例(关注是否漏检)。f1_score:精确率和召回率的调和平均,综合反映模型性能。
总结
这些工具组合起来,可以完成一个完整的 KNN 分类任务流程:用 Pandas 读取和预处理数据 → 用 StandardScaler 标准化特征 → 用 train_test_split 划分数据集 → 用 KNeighborsClassifier 训练模型 → 用评估指标检验模型效果 → (可选)用 Matplotlib 可视化分析过程或结果。